Las fracciones son un tema esencial en el estudio de la matemática. Esto se debe, a que no solo se reducen a un tema teórico, sino que, por el contrario, se encuentran mucho más presentes en nuestra vida cotidiana de lo que podemos imaginar. Ya sea al calcular cuanto combustible queda en el tanque del auto o al distribuir el tiempo de estudio en distintas materias, en todas estas situaciones recurrimos sin darnos cuenta, a las fracciones. Se trata de un modo de razonamiento útil y necesario, que nos ayuda a organizarnos mejor y a resolver diferentes situaciones de nuestra vida cotidiana. Además, aportan las bases para entender temas más complejos de matemáticas.

Es por eso que es tan importante aprender fracciones, entender cómo se utilizan y dominar operaciones como la suma, la resta, la división y la multiplicación de fracciones.
A continuación haremos un recorrido por la multiplicación de fracciones y sus diferentes métodos según el tipo de operación que se nos presente: multiplicación de fracciones con el mismo denominador, con diferente denominador y multiplicación de fracciones por números enteros.
¿Qué es la multiplicación de fracciones?
Multiplicar fracciones significa combinar dos fracciones para obtener una nueva. Esto quiere decir que, multiplicando fracciones, obtendremos como resultado otra fracción que representa una parte aún más específica de la unidad.

Se trata de una operación bastante sencilla, ya que a diferencia de la suma o la resta de fracciones, no necesitamos buscar un común denominador entre las fracciones implicadas: esto nos permite operar con los números sin tener que hacer operaciones previas, ahorrándonos un paso dentro del proceso.
En cambio, en el caso de la multiplicación, solo debemos multiplicar los numeradores entre sí y anotar el resultado en la parte superior de la fracción (numerador) después del igual, y multiplicar los denominadores entre ellos, asentando el resultado en la parte inferior (denominador) después del igual.
Para pensar en la multiplicación de fracciones imaginemos que: recorriste 3/4 de un camino y luego decidís avanzar 1/3 de ese tramo recorrido. Entonces, lo que habrás recorrido en total es 1/4 del camino completo:

Entonces, multiplicamos fracciones cuando buscamos una parte de una parte. Es decir, no estamos agregando, sino reduciendo la fracción inicial.
Combinamos dos fracciones para obtener una nueva, siguiendo esta regla:
se multiplican los numeradores entre sí y los denominadores entre sí.
El método para la multiplicación de dos fracciones
Vamos a tomar la siguiente operación como consigna a resolver:



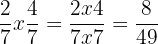
Veamos algunos ejemplos más sobre cómo resolver este tipo de operación:



Entonces, la regla se repite: multiplicar numerador con numerador y denominador con denominador. Luego, si es necesario, simplificar el resultado para obtener la mínima fracción posible.
Vamos a ver cómo se maniobra esta regla en cada uno de los diferentes tipos que se nos puedan llegar a presentar a la hora de buscar el producto entre fracciones.
¡Descubrí qué son las fracciones equivalentes y cómo reconocerlas fácilmente!
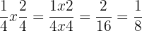
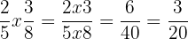
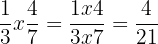
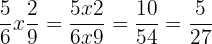
¿Cómo multiplicar fracciones con el mismo denominador?
Como verás, ¡multiplicar fracciones es súper sencillo! A diferencia de la resta o suma de fracciones, como en el caso del producto no necesitamos buscar un común denominador entre las fracciones, esto nos facilita muchísimo el proceso.
Sin embargo, muchos estudiantes tienen miedo a la hora de resolver este tipo de operación: no se sienten seguros o tienden a dudar del procedimiento. Muchas veces, la sencillez del mismo puede llevarnos a creer que hay una trampa o que algo se nos puede estar pasando por algo.

¡Pero no es el caso! Si bien la matemática está llena de situaciones de este tipo, esto no es lo que ocurre en el caso de la multiplicación de fracciones.
La regla general se mantiene: multiplicamos numerador por numerador y denominador por denominador.
Te dejamos algunos ejemplos para que puedas ver cómo funciona esta operación:



La clave para incorporar el método es practicar y practicar. En matemáticas este es el truco más potente para poder interiorizar la teoría y sentirte seguro a la hora de resolver problemas u operaciones.
¡Descubrí cuáles son los diferentes tipos de fracciones que existen!
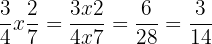
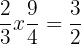
¿Cómo es la multiplicación de fracciones con diferente denominador?
Cuando tenemos que buscar cuál es el producto entre dos fracciones que tienen iguales denominadores, la regla general se mantiene intacta. Entonces, multiplicamos los numeradores y luego los denominadores.

Multiplicación de fracciones, ejemplos:



¿Ya sabés cuáles son los mejores métodos para sumar fracciones?
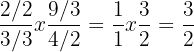
Cómo simplificar fracciones cruzadas
Antes de realizar la multiplicación, te conviene revisar si se pueden simplificar las fracciones de manera cruzada.
Vamos a tomar la siguiente operación como consigna a resolver:

2 y 4 tienen factor común 2
3 y 9 tienen factor común 3


Esto te permite no tener que resolver cálculos con números tan elevados. Te va a facilitar mucho la resolución de tus ejercicios, y disminuir las posibilidades de error por malas cuentas o por confundirte con alguna cifra al escribirla o copiarla. ¡Recordá que en matemáticas los errores pueden arrastrarse haciendo que toda la operación sea incorrecta por más de que el procedimiento sea el indicado!
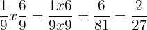
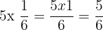
¿Cómo hacer multiplicaciones de fracciones por números enteros?
Sigamos avanzando en este fascinante universo de las fracciones. Aunque no lo creas, multiplicar fracciones por un número natural es aún más fácil que multiplicar dos fracciones.
Multiplicas el numerador por el número entero, y el denominador se mantiene igual.
Veamos algunos ejemplos:



¡Y casi sin darnos cuenta hemos llegado al final de esta aventura! ¿Te imaginabas que multiplicar fracciones en todas sus formas iba a ser tan fácil? Como podrás ves, en matemáticas, contar con un método efectivo es fundamental para poder abordar las operaciones paso a paso y no abrumarte en el proceso. Con estos ejercicios ya podrás seguir avanzando por cuenta propia para seguir practicando hasta que sientas que incorporaste este razonamiento y que podés resolver los ejercicios de forma correcta.

Si se te complica, siempre podés recurrir a recursos más concretos como pensar en una pizza (denominador) y las porciones que tomas (numerador) o una tableta de chocolate (denominador) y sus cuadraditos (numerador).
Existen infinidad de ejemplos de tu vida cotidiana que pueden serte de gran ayuda para pensar las fracciones y comprender la lógica que subyace a sus operaciones.
Y ahora, ¡a practicar! Recordá que siempre podés recurrir a uno de nuestros profesores particulares de matemáticas si se presentan dificultades. Con un profesor particular podrás abordar cualquier tema de matemática de manera personalizada para realizar un aprendizaje efectivo y entretenido, basado en tus objetivos y en tus necesidades individuales.