Las matemáticas en ocasiones presentan desafíos para los estudiantes de todos los niveles educativos. Tanto en primaria como en secundaria y en el nivel superior, sus contenidos abstractos implican el desarrollo de un razonamiento lógico, que puede ser complicado si no contamos con las herramientas adecuadas para poder incorporarlo.
Específicamente, las fracciones son un tema obligado a aprender en matemáticas. Esto se debe, a que (¡creer o reventar!) las fracciones se encuentran presentes todo el tiempo en nuestra vida cotidiana: ya sea a la hora de cocinar una receta, de dividir una pizza entre amigos o de repartir equitativamente un gasto común, son todas situaciones en las que quizás sin saberlo, recurrimos a las fracciones o las utilizamos para razonar. A continuación, nos adentraremos en la suma de fracciones: te contamos cómo sumar fracciones y te proponemos un método sencillo y práctico para hacerlo en cada una de las situaciones posibles. De este modo, vas a poder resolver cualquier suma de fracciones sin complicaciones. Si necesitás apoyo específico, podés buscar clases particulares de matematica en La Plata.
¿Cómo es la suma de fracciones?
Aprender fracciones es incorporar una forma de pensar adquiriendo un razonamiento lógico que ayuda a organizar información, comparar cantidades y tomar decisiones. No se trata solo de sumar o restar números, sino de desarrollar una herramienta mental que se aplica a la vida diaria y que sienta las bases para comprender temas más complejos de las matemáticas.
Paso a paso suma de fracciones
Existen diferentes métodos para sumar fracciones, dependiendo del tipo de operación que tengamos enfrente. Es decir, a pesar de que existe una lógica común para adicionar fracciones, no todas las sumas de fracciones se resuelven de la misma manera.
👉 Suma de dos fracciones:
Fracciones con el mismo denominador
Fracciones con distinto denominador
👉 Suma de más de dos fracciones
👉 Suma de fracciones y números enteros
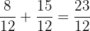
Cómo se suman las fracciones de igual denominador
La suma de fracciones con el mismo denominador, también llamadas fracciones homogéneas, son el caso más sencillo. Generalmente, los estudiantes no suelen presentar problemas para comprender y resolver este tipo de operaciones, ya que conservan la lógica de una adición normal de números enteros.

1️⃣ Chequeá que las fracciones tengan el mismo denominador
Algunos ejemplos 👇
¡Descubrí qué son las fracciones equivalentes y cómo reconocerlas fácilmente!
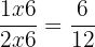
Suma de fracciones con distinto denominador
En este punto la cosa puede llegar a complicarse un poco más. ¡Pero no te preocupes!, cuando queremos sumar dos fracciones con denominador diferente, también llamadas fracciones heterogéneas, lo importante es ser ordenado y seguir el método para llegar al resultado.

Lo primero que debemos hacer para abordar esta adición, es familiarizarnos con el concepto de denominador común. Este es un número que es múltiplo de dos o más números. En este caso, debemos encontrarlo en relación con los denominadores de nuestras dos fracciones en cuestión.
A la hora de sumar fracciones, generalmente se usa el mínimo común múltiplo. Además, si querés apoyo para practicar, encontrás clases de matematicas en toda Argentina.
Es el menor número positivo que es múltiplo de dos o más números. Es decir, es un número que contiene a los otros dos como divisores y que sirve para unificar denominadores distintos en las fracciones. 
Paso a paso:

Hacemos lo mismo con la otra fracción:


Algunos ejemplos 👇
¿Te gustaría aprender cómo es la multiplicación de fracciones?
¿Cómo es la suma de más de dos fracciones?
¡Vamos a seguir avanzando en complejidad! Ya hemos visto como sumar dos fracciones con el mismo denominador y cómo sumar dos fracciones con distinto denominador. Ahora bien, ¿qué pasa cuando tenemos que resolver una adición cuando se nos presentan más de dos fracciones?

En este caso, se nos pueden presentar fracciones cuyo denominador es el mismo, o fracciones en el que este es distinto. En ambas situaciones, tenemos que mantenernos en la lógica en la que veníamos trabajando: llevar todas las fracciones al mismo denominador común. Por supuesto que, como veníamos viendo, cuando las fracciones ya tienen el mismo denominador, nos estaríamos ahorrando el paso de encontrar el denominador común.
debemos llevar todos los denominadores a su número común mínimo.
Paso a paso:
Si tenemos

Buscamos el común múltiplo común entre los denominadores: 2, 3 y 4 = 12
¿Por qué número multiplico 2 para llegar a 12? = 6
¿Por qué número multiplico 3 para llegar a 12? = por 4
¿Por qué número multiplico 4 para llegar a 12? = por 3



¡Descubrí cuáles son los diferentes tipos de fracciones que existen!
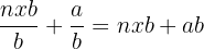
Cómo sumar fracciones y números enteros
Y seguimos avanzando un poquito más en esta aventura de sumar fracciones. Recordá que en matemáticas el saber se construye siempre sobre conocimientos anteriores. Por eso, te recomendamos aprender des lo más sencillo a lo más complejo.

En este caso, es aconsejable que practiques y hagas suficientes ejercicios de las sumas anteriores para adquirir seguridad en tu capacidad para sumar fracciones, y así pasar efectivamente a la suma de fracciones y números enteros. Si preferís clases presenciales, también podés encontrar clases particulares de matematica en Rosario.
Convertí el entero en fracción y luego sumá normalmente.
Paso a paso:
Si la fracción es
y el entero es n, entonces n =


Algunos ejemplos:
👉 4 + 1/2 = 8/2 + 1/2 = 9/2 = 4 1/2
👉 2 + 3/4 = 8/4 + 3/4 = 11/4 = 2 3/4
👉 5 + 2/3 = 15/3 + 2/3 = 17/3 = 5 2/3
Con esta guía para sumar fracciones, ya estás en condiciones de buscar ejercitación para practicar hasta adquirir el método. Si la cosa se pone complicada ¡no desesperes! Respirá hondo, y volvé al paso a paso: ahí siempre podrás encontrar las bases para resolver cualquier ejercicio de forma correcta.
Resumir con IA









