Las fracciones son un tema súper importante dentro de los programas de matemáticas de los diferentes niveles de la educación. Esto se debe a que nos ayudan a entender de qué manera se organizan y conectan las partes dentro de un total- También ofrecen una estructura lógica fundamental para entender e interpretar proporciones y sirven como cimiento para el aprendizaje de numerosos contenidos matemáticos posteriores. Si querés profundizar en estos contenidos, podés buscar clases de matematica.
Una fracción es una noción matemática que representa una cantidad distinta de los números enteros, indicando de qué manera un todo se reparte en partes iguales.
Se escriben con números separados a través de una línea, donde el que se encuentra arriba de esta se llama numerador, y el que se encuentra debajo se llama denominador.

- El numerador representa cuántas partes se tomaron del total.
- El denominador indica en cuántas partes se ha dividido el total.
En el caso del ejemplo de la imagen, podemos imaginar que tenemos una torta cuya superficie total, que se ha dividido en 4 porciones igual (denominador) de las cuales se tomó 1 porción (numerador).
¿Cómo se leen las fracciones?
Las fracciones se leen nombrando primero el numerador (número superior) como un número común y, luego, el denominador (número de abajo) con el nombre correspondiente a la cantidad de partes en que se divide el todo.
Por ejemplo:

➡️ Se lee como "cuatro novenos"

➡️ Se lee como "tres cuartos"

➡️ Se lee como "cinco octavos"

➡️ Se lee como "siete tercios"
Tipos de fracciones
Hay distintos tipos de fracciones, y cada una se utiliza para representar diferentes formas de expresar una cantidad o una proporción. Pueden ser:
- Fracciones propias: Son aquellas que representan una cantidad que es menor a la unidad (1), y por lo tanto, el numerador el menor que el denominador.



- Fracciones impropias: Son aquellas que representan un valor igual o mayor que la unidad (1), y por lo tanto, el numerador es igual o mayor que el denominador.



- Fracciones mixtas: Son una combinación de un número entero y una fracción propia. Se utilizan para expresar de manera más clara una fracción impropia.
Aprender a reconocer cada uno de estos tipos es esencial para poder operar con las mismas. Existen métodos específicos para convertirlas, que es bueno dominar, ya que es mucho más fácil trabajar con fracciones del mismo tipo. Esto puede ahorrarnos varios dolores de cabeza, así como evitar arrastrar errores por trabajar con cálculos muy complicados.
¿Qué son las fracciones equivalentes?
Las fracciones equivalentes son aquellas que, aunque sus numeradores y denominadores sean distintos, representan igual cantidad o la misma proporción del total.
Para que puedas visualizarlo: en la primera imagen, el total de la barra se encuentra dividido en dos secciones iguales y una de ellas aparece pintada, lo que corresponde a la mitad, es decir, a la fracción 1/2.

En la segunda, el mismo espacio se separó en cuatro partes iguales y se colorearon dos, representando también a la mitad, es decir, a la fracción 2/4.
En la tercera figura, el área total se dividió en 8 segmentos y se marcaron cuatro, que equivalen a 4/8.
Y en la última figura, la barra se dividió en 16 porciones de las que se colorearon 8. Esto representa a la fracción 8/16.
Entonces, si observamos con atención, podremos notar que la zona coloreada es siempre de igual tamaño en las imágenes, aunque los números que la simbolizan en la fracción varíen. Eso significa que 1/2, 2/4 y 4/8 y 8/16 expresan la misma cantidad, es decir, son fracciones equivalentes.
¿Cómo multiplicar fracciones?
Multiplicar fracciones consiste en operar dos fracciones entre sí para generar otra. El resultado es una nueva fracción que refleja una porción todavía más específica del total.

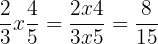
Multiplicar una fracción por otra fracción
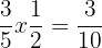
Para pensar en la multiplicación de fracciones, imaginá que tenés 3/5 de una pizza y decidís compartir 1/2 de esa porción con un amigo. Para saber cuánto de la pizza completa le diste, multiplicamos:

Es decir, recurrimos a la multiplicación de fracciones cuando lo que estamos buscando es una parte de una parte.
Solo debemos multiplicar los numeradores entre sí y los denominadores entre sí. Los resultados se anotan después del igual ubicándose en la misma posición.
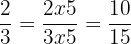
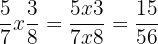
Veamos algunos ejemplos:
Como verás, es un procedimiento súper sencillo. Además, lo bueno de la multiplicación es que el procedimiento es el mismo tanto en fracciones con igual denominador como con diferente denominador. Entonces, al multiplicar numerador con numerador y denominador con denominador, podrás llegar a un buen resultado en todos los tipos de fracciones.
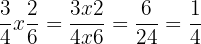
Multiplicar una fracción por un número entero
También es posible multiplicar una fracción por un número entero, que es todavía más fácil que la multiplicación entre dos fracciones.
👉 Para hacer esta operación, solo debemos multiplicar el numerador por el número entero, y el denominador se mantiene igual:

¿Cómo es la suma de fracciones?
Hay varias formas de sumar fracciones, según el tipo de operación que se presente. Estas pueden incluir: sumar dos fracciones con igual denominador, sumar dos fracciones con distinto denominador, sumar más de dos fracciones, o sumar fracciones con números enteros.

Suma de fracciones con igual denominador o homogéneas
Sumar fracciones con el mismo denominador, también llamadas homogéneas es súper fácil. En este caso, permanece el denominador de ambas fracciones y se suman los numeradores.

Suma de fracciones con distinto denominador
Cuando queremos adicionar fracciones que tienen denominadores distintos, también llamadas fracciones heterogéneas, primero necesitamos encontrar un denominador común. Esto significa buscar un número que pueda dividirse exactamente entre los denominadores de todas las fracciones que vamos a sumar. Una vez que tenemos ese número, podemos transformar las fracciones para que tengan ese mismo denominador y sumarlas sin problemas, siguiendo los pasos de la suma de fracciones con igual denominador visto anteriormente.
Por ejemplo:





Suma de fracción con un número entero
Para hacer esta operación, tenemos que convertir el número entero en fracción y luego sumar normalmente.
Por ejemplo:


Estos son algunos de los contenidos básicos sobre fracciones que tenés que saber para poder trabajar con ellas. Si tenés dificultades o te está costando entender estos temas, no dudes en recurrir a Superprof para tomar clases particulares con uno de nuestros profesores de matemáticas. Además, si preferís estudiar desde tu casa, podés elegir un profesor online de matematicas. Con ellos podrás abordar los contenidos a tu tiempo y teniendo en cuenta tu propio estilo de aprendizaje. Un espacio para aprender de manera relajada y entretenida, con recursos didácticos y pedagógicos que te permitirán asimilar cada tema e integrar la teoría con la práctica.
Resumir con IA


















